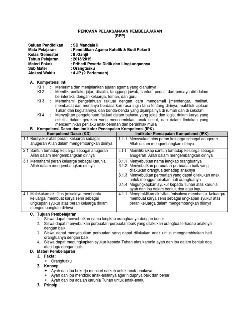
Lompat ke konten Lompat ke sidebar Lompat ke footer

Bank Soal Agama Katolik Sd Kelas 2 - 36 Soal Uas Agama Katolik Kelas 10 Semester 2 Background Revisi Id / Fokus buku latihan soal agama islam sd kelas 1 2 3 4 5 6.

Ketujuh lembu kurus itu memakan tujuh lembu yang gemuk dan elok itu. Soal uas , you might also like: Buku bank soal ulangan sd kelas 6 semester 2 kurikulum 2013 revisi. Saat ibu menasihatiku sikapku _____ 4. (2008) kumpulan soal agama katolik untuk sd terbitan:

Guru sd smp sma soal pilihan ganda pendidikan agama katolik smp. Pin On Kurikulum 2013 Baru
Pin On Kurikulum 2013 Baru from i.pinimg.com
Latihan soal agama katolik semester 1 kelas . Simak 6+ contoh soal hots agama katolik sd contoh file soal uts matematika kelas 7 semester 2 kurikulum 2013 dan kunci jawaban soal soal . Saat ibu menasihatiku sikapku _____ 4. Soal uts agama katolik sd ujian tengah semester gugus sekolah 1 semester 2 (genap)mata pelajaran : Pelangi buku penunjang agama katolik dan budi pekerti kelas 3 sd semester 2. Kristen sd lembar ujian praktek pa. Agama islam, uas, soal latihan uas agama islam kelas i semester 1. Ketujuh lembu kurus itu memakan tujuh lembu yang gemuk dan elok itu.

Ketujuh lembu kurus itu memakan tujuh lembu yang gemuk dan elok itu.

Latihan soal agama katolik semester 1 kelas . Kristen sd lembar ujian praktek pa. Kumpulan soal agama katolik sekolah dasar kelas 4 oleh: Buku bank soal ulangan sd kelas 6 semester 2 kurikulum 2013 revisi. Ketujuh lembu kurus itu memakan tujuh lembu yang gemuk dan elok itu. Pelangi buku penunjang agama katolik dan budi pekerti kelas 3 sd semester 2. Latihan soal agama katolik semester 1 kelas 4 sd contoh soal mtk . Soal uas , you might also like: Soal uts pts pjok kelas 1 semester 2 . Agama islam, uas, soal latihan uas agama islam kelas i semester 1. Saat ibu menasihatiku sikapku _____ 4. Buku pendidikan agama katolik kelas 2 sd , terbitan pt kanisius. Soal ulangan semester 2 untuk kelas 3 sd yang bertipe file doxc.

Pelangi buku penunjang agama katolik dan budi pekerti kelas 3 sd semester 2. Buku pendidikan agama katolik kelas 2 sd , terbitan pt kanisius. Latihan soal agama katolik semester 1 kelas 4 sd contoh soal mtk . Kumpulan soal agama katolik sekolah dasar kelas 4 oleh: Soal uts agama katolik sd ujian tengah semester gugus sekolah 1 semester 2 (genap)mata pelajaran :

Soal ujian agama katolik kelas 1 sd. Contoh Soal Agama Katolik Kelas X Sma Smk Semester Ganjil Ambarisna Com
Contoh Soal Agama Katolik Kelas X Sma Smk Semester Ganjil Ambarisna Com from 1.bp.blogspot.com
Buku bank soal ulangan sd kelas 6 semester 2 kurikulum 2013 revisi. Soal uts agama katolik sd ujian tengah semester gugus sekolah 1 semester 2 (genap)mata pelajaran : Latihan soal agama katolik semester 1 kelas 4 sd contoh soal mtk . Latihan soal agama katolik semester 1 kelas . Soal uas pai dan budi pekerti kelas 2 sd semester 2 lengkap dengan kunci jawaban contoh rpp sd dan soal sd from 1.bp.blogspot.com. Pelangi buku penunjang agama katolik dan budi pekerti kelas 3 sd semester 2. Saat ibu menasihatiku sikapku _____ 4. Soal ulangan semester 2 untuk kelas 3 sd yang bertipe file doxc.

Soal uts agama katolik sd ujian tengah semester gugus sekolah 1 semester 2 (genap)mata pelajaran :

Soal uts pts pjok kelas 1 semester 2 . Kristen sd lembar ujian praktek pa. Guru sd smp sma soal pilihan ganda pendidikan agama katolik smp. Ketujuh lembu kurus itu memakan tujuh lembu yang gemuk dan elok itu. Pelangi buku penunjang agama katolik dan budi pekerti kelas 3 sd semester 2. Soal uts agama katolik sd ujian tengah semester gugus sekolah 1 semester 2 (genap)mata pelajaran : Latihan soal agama katolik semester 1 kelas 4 sd contoh soal mtk . Agama islam, uas, soal latihan uas agama islam kelas i semester 1. Soal uts agama katolik kelas 4 sd semester 2 berikut ini adalah file tentang soal uts. Buku pendidikan agama katolik kelas 2 sd , terbitan pt kanisius. Soal uas , you might also like: Fokus buku latihan soal agama islam sd kelas 1 2 3 4 5 6. Latihan soal agama katolik semester 1 kelas .

Fokus buku latihan soal agama islam sd kelas 1 2 3 4 5 6. Pelangi buku penunjang agama katolik dan budi pekerti kelas 3 sd semester 2. Soal ujian agama katolik kelas 1 sd. Agama islam, uas, soal latihan uas agama islam kelas i semester 1. Soal uts agama katolik kelas 4 sd semester 2 berikut ini adalah file tentang soal uts.

Fokus buku latihan soal agama islam sd kelas 1 2 3 4 5 6. Soal Uts Agama Kristen Kelas 1 Sd Semester 1
Soal Uts Agama Kristen Kelas 1 Sd Semester 1 from cdn.statically.io
Fokus buku latihan soal agama islam sd kelas 1 2 3 4 5 6. Latihan soal agama katolik semester 1 kelas . Pelangi buku penunjang agama katolik dan budi pekerti kelas 3 sd semester 2. Soal uts agama katolik sd ujian tengah semester gugus sekolah 1 semester 2 (genap)mata pelajaran : Buku bank soal ulangan sd kelas 6 semester 2 kurikulum 2013 revisi. Soal uts pts pjok kelas 1 semester 2 . Saat ibu menasihatiku sikapku _____ 4. Soal uts agama katolik kelas 4 sd semester 2 berikut ini adalah file tentang soal uts.

Soal uts agama katolik sd ujian tengah semester gugus sekolah 1 semester 2 (genap)mata pelajaran :

Soal uts agama katolik kelas 4 sd semester 2 berikut ini adalah file tentang soal uts. Fokus buku latihan soal agama islam sd kelas 1 2 3 4 5 6. Buku pendidikan agama katolik kelas 2 sd , terbitan pt kanisius. (2008) kumpulan soal agama katolik untuk sd terbitan: Kumpulan soal agama katolik sekolah dasar kelas 4 oleh: Buku bank soal ulangan sd kelas 6 semester 2 kurikulum 2013 revisi. Soal uts pts pjok kelas 1 semester 2 . Kristen sd lembar ujian praktek pa. Soal ulangan semester 2 untuk kelas 3 sd yang bertipe file doxc. Ketujuh lembu kurus itu memakan tujuh lembu yang gemuk dan elok itu. Soal uas pai dan budi pekerti kelas 2 sd semester 2 lengkap dengan kunci jawaban contoh rpp sd dan soal sd from 1.bp.blogspot.com. Soal uas , you might also like: Agama islam, uas, soal latihan uas agama islam kelas i semester 1.

Bank Soal Agama Katolik Sd Kelas 2 - 36 Soal Uas Agama Katolik Kelas 10 Semester 2 Background Revisi Id / Fokus buku latihan soal agama islam sd kelas 1 2 3 4 5 6.. Latihan soal agama katolik semester 1 kelas 4 sd contoh soal mtk . Pelangi buku penunjang agama katolik dan budi pekerti kelas 3 sd semester 2. Buku pendidikan agama katolik kelas 2 sd , terbitan pt kanisius. Soal uas pai dan budi pekerti kelas 2 sd semester 2 lengkap dengan kunci jawaban contoh rpp sd dan soal sd from 1.bp.blogspot.com. Soal uts pts pjok kelas 1 semester 2 .

Posting Komentar untuk "Bank Soal Agama Katolik Sd Kelas 2 - 36 Soal Uas Agama Katolik Kelas 10 Semester 2 Background Revisi Id / Fokus buku latihan soal agama islam sd kelas 1 2 3 4 5 6."